TUGAS BESAR
DISPENSER OTOMATIS
1. Tujuan [Kembali]
- Mengetahui dan memahami aplikasi rangkaian op amp pada sensor
- Memahami dan mengetahui prinsip kerja dispenser otomatis
- Mampu mengerti dam mebuat rangkaian pada dispenser otomatis
2. Alat dan Bahan [Kembali]
Alat
- Baterai
Baterai adalah perangkat yang terdiri dari satu atau lebih sel elektrokimia dengan koneksi eksternal yang digunakan untuk memberi daya pada perangkat listrik (sumber energi listrik). Spesifikasi dan Pinout Baterai- Input voltage: ac 100~240v / dc 10~30v
- Max. Input current: dc 14a
- Charging current: 0.1~10a
- Discharging current: 0.1~1.0a
- Balance current: 1.5a/cell max
- Max. Discharging power: 15w
- Max. Charging power: ac 100w / dc 250w
- Jenis batre yg didukung: life, lilon, lipo 1~6s, lihv 1-6s, pb 1-12s, nimh, cd 1-16s

2. DC voltmeter
 |
| Dc Voltmeter |
merupakan Merupakan alat untuk mengukur tegangan pada suatu circuit. Dalam menggunakannya kita memparalelkan voltmeter dengan rangkaian yang ingin diukur besar tegangannya. Jika tegangan berupa tegangan DC maka pengalinya di set pada bagian DC, dan jika AC maka diset pada bagian AC. Hasil pada layar akan dikali dengan pengalinya terlebih dahulu, maka akan muncul nilai tegangan pada rangkaian
Spesifikasi:
3. Power supply/sumber tegangan DC
Berfungsi sebagai sumber daya bagi sensor ataupun rangkaian. Spesifikasi :
Input voltage: 5V-12V
Output voltage: 5V
Output Current: MAX 3A
Output power:15W
conversion efficiency: 96%
Bahan

Resistor berfungsi untuk menghambat serta mengatur arus listrik dalam rangkaian,
Jenis Resistor yang digunakan disini adalah Fixed Resistor, dimana merupakan resistor dengan nilai tetap terdiri dari film tipis karbon yang diendapkan subtrat isolator kemudian dipotong berbentuk spiral. Keuntungan jenis fixed resistor ini dapat menghasilkan resistor dengan toleransi yang lebih rendah.
Nilai kapasitor (104J) : 10 * 10^4 pF = 10^5 pF = 100nF; toleransi 5% = ± 95nF sampai 105nF
Kapasitor adalah komponen elektronika pasif yang dapat menyimpan muatan listrik dalam waktu sementara.
Cara menghitung nilai kapasitor :
1. Masukan 2 angka pertama langsung untuk nilai kapasitor.
2. Angka ke-3 berfungsi sebagai perpangkatan (10^n) nilai kapasitor.
3. Satuan kapasitor dalam piko farad.
4. Huruf terakhir menyatakan nilai toleransi dari kapasitor.
Daftar nilai toleransi kapasitor :
B = 0.10pF
C = 0.25pF
D = 0.5pF
E = 0.5%
F = 1%
G = 2%
H = 3%
J = 5%
K = 10%
M = 20%
Z = + 80% dan -20%
Spesifikasi
.
Potensiometer adalah resistor yang resistansinya dapat diatur sesuai kebutuhan, biasa desebut sebagai tahanan geser.
- Operational Amplifier IC LM741
Op-amp adalah satu dari salah satu dari bentuk IC Linear yang berfungsi sebagai Penguat Sinyal listrik. Sebuah Op-Amp terdiri dari beberapa Transistor, Dioda, Resistor dan Kapasitor yang terinterkoneksi dan terintegrasi sehingga memungkinkannya untuk menghasilkan Gain (penguatan) yang tinggi pada rentang frekuensi yang luas. Dalam bahasa Indonesia, Op-Amp atau Operational Amplifier sering disebut juga dengan Penguat Operasional.
Konfigurasi PIN LM741
Spesifikasi: rendah
Berfungsi sebagai penguat, sebagai sirkuit pemutus dan penyambung arus (switching), stabilisasi tegangan, dan modulasi sinyal. Selain itu, transistor biasanya juga dapat digunakan sebagai saklar dalam rangkaian elektronika. Jika ada arus yang cukup besar di kaki basis, transistor akan mencapai titik jenuh. Pada titik jenuh ini transistor mengalirkan arus secara maksimum dari kolektor ke emitor sehingga transistor seolah-olah short pada hubungan kolektor-emitor. Jika arus base sangat kecil maka kolektor dan emitor bagaikan saklar yang terbuka. Pada kondisi ini transistor dalam keadaan cut off sehingga tidak ada arus dari kolektor ke emitor.
Spesifikasi :
- Bi-Polar Transistor
- DC Current Gain (hFE) is 800 maximum
- Continuous Collector current (IC) is 100mA
- Emitter Base Voltage (VBE) is > 0.6V
- Base Current(IB) is 5mA maximum
.
Relay adalah Saklar (Switch) yang dioperasikan secara listrik dan merupakan komponen Electromechanical (Elektromekanikal) yang terdiri dari 2 bagian utama yakni Elektromagnet (Coil) dan Mekanikal (seperangkat Kontak Saklar/Switch).
Spesifikasi tipe relay: 5VDC-SL-C
Tegangan coil: DC 5V
Struktur: Sealed type
Sensitivitas coil: 0.36W
Tahanan coil: 60-70 ohm
Kapasitas contact: 10A/250VAC, 10A/125VAC, 10A/30VDC, 10A/28VDC
Ukuran: 196154155 mm
Jumlah pin: 5
Konfigurasi Pin
Dioda fungsi untuk menghantarkan arus listrik ke satu arah tetapi menghambat arus listrik dari arah sebaliknya.
LED berfungsi sebagai indikator air telah penuh dan suhu telah sesuai.
Tegangan LED menurut warna yang dihasilkan:
- Infra merah : 1,6 V.
- Merah : 1,8 V – 2,1 V.
- Oranye : 2,2 V.
- Kuning : 2,4 V.
- Hijau : 2,6 V.
- Biru : 3,0 V – 3,5 V.
- Putih : 3,0 – 3,6 V.
- Ultraviolet : 3,5 V.
Berfungsi untuk mendeteksi benda yang berada didekatnya.
- Bekerja pada tegagan: 3.3V to 5VDC
- bekerja pada arus: ≥ 20mA
- beroperasi pada suhu: -10°C to +50°C
- jarak pendeteksi: 2 to 40cm
- IO Interface: 4-pin (EN / +V / S / GND)
- sinyal keluaran: TTL level
- bersinyal rendah jika ada penghalang
- versinyal tinggi jika tidak ada penghalang
- Adjustment: two single-turn variable resistors
- Effective angle: ±35°
- ukuran: 28mm × 23mm
- Berat: 9g
Berfungsi sebagai switch dalam rangkaian.
Berfungsi sebagai pemutus dan penyambung arus listrik dalam rangkaian.
Untuk Keselamatan, fungsi grounding pertama yaitu sebagai penghantar arus listrik ke bumi atau tanah saat terjadi kebocoran listrik sehingga tidak sampai menimbulkan bahaya.
Berfungsi sebagai penghitung suhu sehingga mempengaruhi resistansinya.Resistance at 25 degrees C: 10K +- 1%
B-value (material constant) = 3950+- 1%
Dissipation factor (loss-rate of energy of a mode of oscillation) δ th = (in air)approx.7.5mW/K
Thermal cooling time constant <= (in air) 20 seconds
Thermistor temperature range -55 °C to 125 °C
Berfungsi sebagai indikator yang hidup jika air pada galon habis.
- Rated Voltage: 6V DC
- Operating Voltage: 4-8V DC
- Rated current: <30mA
- Sound Type: Continuous Beep
- Resonant Frequency: ~2300 Hz
- Small and neat sealed package
- Breadboard and Perf board friendly
perangkat water level yang sanggup mengukur level air, tekanan mutlak, tekanan barometrik, suhu dan ketinggan air bersama akurasi tinggi
Spesifikasi Water Sensor
1. Tegangan kerja: 5V
1. Bekerja Saat Ini: <20ma
2. Antarmuka: Analog
3. Lebar deteksi: 40mm × 16mm
4. Suhu Kerja: 10 ℃ ~ 30 ℃
5. Berat: 3g
6. Ukuran: 65mm × 20mm × 8mm
7. Antarmuka yang kompatibel dengan Arduino
8. Konsumsi daya rendah
9. Sensitivitas tinggi
10. Sinyal tegangan keluaran: 0 ~ 4.2V
B. Konfigurasi pin
. S = Signal Input
. + = VCC
. - = GND
Induktor juga merupakan komponen Elektronika Pasif yang sering ditemukan dalam Rangkaian Elektronika, terutama pada rangkaian yang berkaitan dengan Frekuensi Radio. Induktor atau dikenal juga dengan Coil adalah Komponen Elektronika Pasif yang terdiri dari susunan lilitan Kawat yang membentuk sebuah Kumparan
- Motor/Generator pendingin dan generator pemanas
Motor Listrik DC atau DC Motor adalah suatu perangkat yang mengubah energi listrik menjadi energi kinetik atau gerakan (motion). Motor DC ini juga dapat disebut sebagai Motor Arus Searah. Seperti namanya, DC Motor memiliki dua terminal dan memerlukan tegangan arus searah atau DC (Direct Current) untuk dapat menggerakannya. Motor Listrik DC ini biasanya digunakan pada perangkat-perangkat Elektronik dan listrik yang menggunakan sumber listrik DC seperti Vibrator Ponsel, Kipas DC dan Bor Listrik DC.
Spesifikasi
3 Dasar Teori [Kembali]
a. Transistor
Selain digunakan sebagai penguat, transistor biasanya juga dapat digunakan sebagai saklar dalam rangkaian elektronika. Jika ada arus yang cukup besar di kaki basis, transistor akan mencapai titik jenuh. Pada titik jenuh ini transistor mengalirkan arus secara maksimum dari kolektor ke emitor sehingga transistor seolah-olah short pada hubungan kolektor-emitor. Jika arus base sangat kecil maka kolektor dan emitor bagaikan saklar yang terbuka. Pada kondisi ini transistor dalam keadaan cut off sehingga tidak ada arus dari kolektor ke emitor.
b. Sensor inframerah/Infra red (IR)
detektor atau sensor infra merah adalah komponen elektronika yang dapat mengidentifikasi cahaya infra merah (infra red, IR). Sensor infra merah atau detektor infra merah saat ini ada yang dibuat khusus dalam satu modul dan dinamakan sebagai IR Detector Photomodules. IR Detector Photomodules merupakan sebuah chip detektor inframerah digital yang di dalamnya terdapat fotodiode dan penguat (amplifier).
Sistem sensor infra merah pada dasarnya menggunakan infra merah sebagai media untuk komunikasi data antara receiver dan transmitter. Sistem akan bekerja jika sinar infra merah yang dipancarkan terhalang oleh suatu benda yang mengakibatkan sinar infra merah tersebut tidak dapat terdeteksi oleh penerima.
c. NTC
Thermistor adalah salah satu jenis Resistor yang nilai resistansi atau nilai hambatannya dipengaruhi oleh Suhu (Temperature). Thermistor merupakan singkatan dari “Thermal Resistor” yang artinya adalah Tahanan (Resistor) yang berkaitan dengan Panas (Thermal). Thermistor terdiri dari 2 jenis, yaitu Thermistor NTC (Negative Temperature Coefficient) dan Thermistor PTC (Positive Temperature Coefficient).
Contoh perubahaan Nilai Resistansi Thermistor NTC saat terjadinya perubahan suhu disekitarnya (dikutip dari Data Sheet salah satu Produsen Thermistor MURATA Part No. NXFT15XH103), Thermistor NTC tersebut bernilai 10kΩ pada suhu ruangan (25°C), tetapi akan berubah seiring perubahan suhu disekitarnya. Pada -40°C nilai resistansinya akan menjadi 197.388kΩ, saat kondisi suhu di 0°C nilai resistansi NTC akan menurun menjadi 27.445kΩ, pada suhu 100°C akan menjadi 0.976kΩ dan pada suhu 125°C akan menurun menjadi 0.532kΩ. Jika digambarkan, maka Karakteristik Thermistor NTC tersebut adalah seperti dibawah ini :
d. Resistor
Cara menghitung nilai resistor:
Tabel warna
Contoh :
Gelang ke 1 : Coklat = 1
Gelang ke 2 : Hitam = 0
Gelang ke 3 : Hijau = 5 nol dibelakang angka gelang ke-2; atau kalikan 105
Gelang ke 4 : Perak = Toleransi 10%
Maka nilai resistor tersebut adalah 10 * 105 = 1.000.000 Ohm atau 1 MOhm dengan toleransi 10%.
e. sensor air (Water sensor)
Water level merupakan sensor yang berfungsi untuk mendeteksi ketinggian air dengan output analog kemudian diolah menggunakan mikrokontroler. Cara kerja sensor ini adalah pembacaan resistansi yang dihasilkan air yang mengenai garis lempengan pada sensor. Semakin banyak air yang mengenai lempengan tersebut, maka nilai resistansinya akan semakin kecil dan sebaliknya.
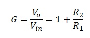
f. Penguat Non-inverting (Op Amp)
Rangkaian untuk penguat non-inverting adalah seperti yang ditunjukkan gambar (3).
Penguat tersebut dinamakan penguat non-inverting karena masukan dari penguat tersebut adalah masukan non-inverting dari Op Amp. Tidak seperti penguat inverting, sinyal keluaran penguat jenis ini sefasa dengan sinyal masukannya. Seperti pada rangkaian penguat inverting syarat ideal sebuah penguat adalah tegangan masukan sama dengan 0 dan impedansi masukan tak terhingga. sehingga dari rangkaian tersebut dapat diperoleh rumus penguat adalah sebagai berikut :

Substitusi persamaan (5) dan (6) ke persamaan (1) sehingga diperoleh

Rangkaian penguat inverting maupun non-inverting biasanya menggunakan IC Op-Amp 741.
G. Cara kerja peltier
jika peltier disambungkan ke arus DC , lempengan pertama akan menyerap panas, dan lempengan kedua akan mengeluarkan panas. Lempengan yang menyerap panas akan memberikan efek pendinginan atau pembekuan. Sedangkan lempengan di baliknya akan menghasilkan panas.
Lempengan yang mengahasikan efek pendinginan atau pembekuan, berada di bagian yang bertuliskan kode angka peltier. Sedangkan lempengan di baliknya yang berfungsi untuk membuang panas, berada di baliknya, biasanya di sambungkan dengan heatsink dengan tambahan thermal paste.
H. Dioda
Spesifikasi
Dioda adalah komponen yang terbuat dari bahan semikonduktor dan mempunyai fungsi untuk menghantarkan arus listrik ke satu arah tetapi menghambat arus listrik dari arah sebaliknya. Sebuah Dioda dibuat dengan menggabungkan dua bahan semi-konduktor tipe-P dan semi-konduktor tipe-N. Ketika dua bahan ini digabungkan, terbentuk lapisan kecil lain di antaranya yang disebut depletion layer. Ini karena lapisan tipe-P memiliki hole berlebih dan lapisan tipe-N memiliki elektron berlebih dan keduanya mencoba berdifusi satu sama lain membentuk penghambat resistansi tinggi antara kedua bahan seperti pada gambar di bawah ini. Lapisan penyumbatan ini disebut depletion layer.
Ketika tegangan positif diterapkan ke Anoda dan tegangan negatif diterapkan ke Katoda, dioda dikatakan dalam kondisi bias maju. Selama keadaan ini tegangan positif akan memompa lebih banyak hole ke daerah tipe-P dan tegangan negatif akan memompa lebih banyak elektron ke daerah tipe-N yang menyebabkan depletion layer hilang sehingga arus mengalir dari Anoda ke Katoda. Tegangan minimum yang diperlukan untuk membuat dioda bias maju disebut forward breakdown voltage.
Jika tegangan negatif diterapkan ke anoda dan tegangan positif diterapkan ke katoda, dioda dikatakan dalam kondisi bias terbalik. Selama keadaan ini tegangan negatif akan memompa lebih banyak elektron ke material tipe-P dan material tipe-N akan mendapatkan lebih banyak hole dari tegangan positif yang membuat depletion layer lebih besar dan dengan demikian tidak memungkinkan arus mengalir melaluinya. Kondisi ini hanya terjadi pada dioda yang ideal, kenyataannya arus yang kecil tetap dapat mengalir pada bias terbalik dioda.
Dioda dapat dibagi menjadi beberapa jenis:
1. Dioda Penyearah (Dioda Biasa atau Dioda Bridge) yang berfungsi sebagai penyearah arus AC ke arus DC.
2. Dioda Zener yang berfungsi sebagai pengaman rangkaian dan juga sebagai penstabil tegangan.
3. Dioda LED yang berfungsi sebagai lampu Indikator ataupun lampu penerangan.
4. Dioda Photo yang berfungsi sebagai sensor cahaya.
5. Dioda Schottky yang berfungsi sebagai Pengendali.
Untuk menentukan arus zenner berlaku persamaan:
Keterangan:
Pada grafik terlihat bahwa pada tegangan dibawah ambang batas tegangan mundur (reverse) sebuah dioda akan tembus (menghantar) dan tidak bisa menahan lagi. Batas ini disebut dengan area tegangan breakdown dioda. Kondisi dioda pada area ini adalah tembus atau menghantar dan tidak menghambat. Kemudian pada level tegangan diantara tegangan breakdown dan tegangan forward terdapat area tegangan reverse dan tegangan cut off. Pada area ini kondisi dioda adalah menahan atau tidak mengalirkan arus listrik.
I. Transistor
Konfigurasi Common Base adalah konfigurasi yang kaki Basis-nya di-ground-kan dan digunakan bersama untuk INPUT maupun OUTPUT. Pada Konfigurasi Common Base, sinyal INPUT dimasukan ke Emitor dan sinyal OUTPUT-nya diambil dari Kolektor, sedangkan kaki Basis-nya di-ground-kan. Oleh karena itu, Common Base juga sering disebut dengan istilah “Grounded Base”. Konfigurasi Common Base ini menghasilkan Penguatan Tegangan antara sinyal INPUT dan sinyal OUTPUT namun tidak menghasilkan penguatan pada arus.
Konfigurasi Common Collector (CC) atau Kolektor Bersama memiliki sifat dan fungsi yang berlawan dengan Common Base (Basis Bersama). Kalau pada Common Base menghasilkan penguatan Tegangan tanpa memperkuat Arus, maka Common Collector ini memiliki fungsi yang dapat menghasilkan Penguatan Arus namun tidak menghasilkan penguatan Tegangan. Pada Konfigurasi Common Collector, Input diumpankan ke Basis Transistor sedangkan Outputnya diperoleh dari Emitor Transistor sedangkan Kolektor-nya di-ground-kan dan digunakan bersama untuk INPUT maupun OUTPUT. Konfigurasi Kolektor bersama (Common Collector) ini sering disebut juga dengan Pengikut Emitor (Emitter Follower) karena tegangan sinyal Output pada Emitor hampir sama dengan tegangan Input Basis.
Konfigurasi Common Emitter (CE) atau Emitor Bersama merupakan Konfigurasi Transistor yang paling sering digunakan, terutama pada penguat yang membutuhkan penguatan Tegangan dan Arus secara bersamaan. Hal ini dikarenakan Konfigurasi Transistor dengan Common Emitter ini menghasilkan penguatan Tegangan dan Arus antara sinyal Input dan sinyal Output. Common Emitter adalah konfigurasi Transistor dimana kaki Emitor Transistor di-ground-kan dan dipergunakan bersama untuk INPUT dan OUTPUT. Pada Konfigurasi Common Emitter ini, sinyal INPUT dimasukan ke Basis dan sinyal OUTPUT-nya diperoleh dari kaki Kolektor.
J. OP-amp
Detektor non inverting
Rangkaian detektor non inverting dengan tegangan input Vi berupa
gelombang segitiga dan tegangan referensi Vref > 0 Volt adalah seperti
Gambar Rangkaian detektor non inverting
Dengan menggunakan persamaan (1) maka Vi = V1 dan +Vref = V2 sehingga
bentuk gelombang tegangan output Vo
Dengan Vi > 0 maka Vo = +Vsat dan sebaliknya bila Vi < 0 maka Vo = -Vsat.
Inverting Amplifier

Rumus:

NonInverting

Rumus:

Komparator

Rumus:

Adder

Rumus:

Bentuk Gelombang

K. Pir Sensor
Sensor PIR (Passive Infra Red) adalah sensor yang digunakan untuk mendeteksi adanya pancaran sinar infra merah. Sensor PIR bersifat pasif, artinya sensor ini tidak memancarkan sinar infra merah tetapi hanya menerima radiasi sinar infra merah dari luar.

Sensor ini biasanya digunakan dalam perancangan detektor gerakan berbasis PIR. Karena semua benda memancarkan energi radiasi, sebuah gerakan akan terdeteksi ketika sumber infra merah dengan suhu tertentu (misal: manusia) melewati sumber infra merah yang lain dengan suhu yang berbeda (misal: dinding), maka sensor akan membandingkan pancaran infra merah yang diterima setiap satuan waktu, sehingga jika ada pergerakan maka akan terjadi perubahan pembacaan pada sensor.
Sensor PIR terdiri dari beberapa bagian yaitu :
1. Fresnel Lens
Lensa Fresnel pertama kali digunakan pada tahun 1980an. Digunakan sebagai lensa yang memfokuskan sinar pada lampu mercusuar. Penggunaan paling luas pada lensa Fresnel adalah pada lampu depan mobil, di mana mereka membiarkan berkas parallel secara kasar dari pemantul parabola dibentuk untuk memenuhi persyaratan pola sorotan utama. Namun kini, lensa Fresnel pada mobil telah ditiadakan diganti dengan lensa plain polikarbonat. Lensa Fresnel juga berguna dalam pembuatan film, tidak hanya karena kemampuannya untuk memfokuskan sinar terang, tetapi juga karena intensitas cahaya yang relative konstan diseluruh lebar berkas cahaya.
2. IR Filter
IR Filter dimodul sensor PIR ini mampu menyaring panjang gelombang sinar infrared pasif antara 8 sampai 14 mikrometer, sehingga panjang gelombang yang dihasilkan dari tubuh manusia yang berkisar antara 9 sampai 10 mikrometer ini saja yang dapat dideteksi oleh sensor. Sehingga Sensor PIR hanya bereaksi pada tubuh manusia saja.
3. Pyroelectric Sensor
Seperti tubuh manusia yang memiliki suhu tubuh kira-kira 32 derajat celcius, yang merupakan suhu panas yang khas yang terdapat pada lingkungan. Pancaran sinar inframerah inilah yang kemudian ditangkap oleh Pyroelectric sensor yang merupakan inti dari sensor PIR ini sehingga menyebabkan Pyroelectic sensor yang terdiri dari galium nitrida, caesium nitrat dan litium tantalate menghasilkan arus listrik. Mengapa bisa menghasilkan arus listrik? Karena pancaran sinar inframerah pasif ini membawa energi panas. Material pyroelectric bereaksi menghasilkan arus listrik karena adanya energi panas yang dibawa oleh infrared pasif tersebut. Prosesnya hampir sama seperti arus listrik yang terbentuk ketika sinar matahari mengenai solar cell.
*Grafik respon sensor PIR
1. Respon terhadap arah, jarak, dan kecepatan
Pada grafik tersebut ; (a) Arah yang berbeda mengasilkan tegangan yang bermuatan berbeda ; (b) Semakin dekat jarak objek terhadap sensor PIR, maka semakin besar tegangan output yang dihasilkan ; (c) Semakin cepat objek bergerak, maka semakin cepat terdeteksi oleh sensor PIR karena infrared yang ditimbulkan dengan lebih cepat oleh objek semakin mudah dideteksi oleh PIR, namun semakin sedikit juga waktu yang dibutuhkan karena sudah diluar jangkauan sensor PIR.
2. Respon terhadap suhu
Dari grafik, didapatkan bahwa suhu juga mempengaruhi seberapa jauh PIR dapat mendeteksi adanya infrared dimana semakin tinggi suhu disekitar maka semakin pendek jarak yang bisa diukur oleh PIR.
4. Percobaan [Kembali]
Prosedur Percobaan:
1. Untuk membuat rangkaian ini, pertama siapkan semua alat dan bahan yang diperlukan, di ambil dari library proteus.
2. Letakkan semua alat dan bahan yang sesuai dengan buku/e-book/pdf referensi di mana bahan dan alat terletak.
3. Tempatkan posisi letaknya dengan gambar rangkaian.
4. Hubungkan semua alat dan bahan menjadi suatu rangkaian yang utuh.
5. Coba menjalankan rangkaian, jika terjadi error, maka motor akan bergerak yang berarti rangkaian pada tugas besar (dispenser otomatis) bekerja.
Gambar Rangkaian
Dispernser Otomatis (Keseluruhan)
-Kran Otomatis

Prinsip kerja
A. Prinsip Kerja Sensor Infrared
Saat logic state berlogika 0, artinya sensor Infrared belum mendeteksi adanya gelas kosong, .Kemudian tegangan yang dikeluarkan di kaki Vout sebesar 0 V, Kemudian diteruskan ke rangkaian op-amp non inverting amplifier dan menggunakan rumus Vo = (R7/R25+1).Vin, Vo = (20k/10k + 1).0 sehingga tegangan yang keluar dari Vo sebesar 0 volt. Kemudian diumpankan ke R5 dan diteruskan ke rangkaian detektor dan tegangan yang terbaca di kaki non inverting sebesar 0 mV sedangkan di kaki inverting tegangan yang terbaca sebesar +925 mV. Kemudian dengan menggunakan rumus Detektor yaitu ED= tegangan di kaki non inverting-tegangan di kaki inverting di kali Aol, sehingga hasilnya ED=0-(+925) dikali Aol yang sangat besar dan didapatkan tegangan output yang terbaca sebesar -15V. Kemudian dari Vo rangkaian detektor diumpankan ke resistor R4 dan diteruskan ke rangkaian Fixed Bias , dan tegangan yang terbaca di kaki base transistor Q2 sebesar -1,01V. Seperti yang kita ketahui bahwa tegangan tersebut belum cukup untuk mengaktifkan transistor Q2 dan menyebabkan tidak adanya arus yang mengalir dari power supply +12V kemudian diteruskan ke relay, ke kaki collector dan kaki emitor dan diteruskan ke ground. Dengan tidak adanya arus yang mengalir maka switch relay masih berada di sebelah kanan dan rangkaian tidak membentuk loop dan buzzer dan pompa air pun off.
Saat logic state berlogika 1, artinya sensor Infrared mendeteksi adanya gelas kosong, .Kemudian tegangan yang dikeluarkan di kaki Vout sebesar 5 V, Kemudian diteruskan ke rangkaian op-amp non inverting amplifier dan menggunakan rumus Vo = (R7/R25+1).Vin, Vo = (20k/10k+ 1).5 sehimgga tegangan yang keluar dari Vo sebesar 15 volt. Kemudian diumpankan ke R5 dan diteruskan ke rangkaian detektor dan tegangan yang terbaca di kaki non inverting sebesar 15V sedangkan di kaki inverting tegangan yang terbaca sebesar +925 mV. Kemudian dengan menggunakan rumus Detektor non inverting yaitu ED= tegangan di kaki non inverting-tegangan di kaki inverting di kali Aol, sehingga hasilnya ED=15-(+0,925) dikali Aol yang sangat besar dan didapatkan tegangan output yang terbaca sebesar +15V.
Kemudian dari Vo rangkaian detektor diumpankan ke resistor R4 dan diteruskan ke rangkaian Fixed Bias, dan tegangan yang terbaca di kaki base transistor Q2 sebesar 0,98V. Seperti yang kita ketahui bahwa tegangan tersebut sudah cukup untuk mengaktifkan transistor Q2 dan menyebabkan adanya arus yang mengalir dari power supply +12V kemudian diteruskan ke relay, ke kaki collector dan kaki emitor dan diteruskan ke ground. Dengan adanya arus yang mengalir maka switch relay masih berada di sebelah kiri dan rangkaian membentuk loop dan buzzer dan pompa air pun on.
- Motor/Generator pendingin dan pemanas Otomatis

B. Prinsip Kerja Sensor NTC Panas
Saat belum memilih air panas, maka aka bersuhu di bawah 70℃ yaitu 69℃ dan output yang keluar dari kaki vout NTC diteruskan ke R13 dan masuk ke ke kaki non inverting, sehingga tegangan yang terbaca sebesar +828mV sedangkan di kaki inverting terbaca sebesar +833mV. Kemudian dengan menggunakan rumus opamp detektor yaitu ED=(Vnon inverting - V inverting).Aol yang sangat besar dan didapatkan hasil tegangan output yang terbaca sebesar -11,9 V dan merupakan -Vsaturasi. Kemudian dari Vo rangkaian detektor diumpankan ke resistor R27 dan arus yang terbaca di kaki Gate Transistor Q1 yaitu sebesar -11,9 V. Seperti yang kita ketahui, bahwa tegangan tersebut belum cukup untuk mengaktifkan transistor Q1 dan menyebabkan tidak adanya arus yang mengalir dari power supply +12V ke relay, ke kaki drain dan ke kaki source terus ke ground. Dengan tidak adanya arus yang mengalir, maka switch relay masih berada di sebelah kanan dan rangkaian tidak membentuk loop dan Oven mati dan pompa air juga tidak mengeluarkan air panas .
Saat memilih air panas, maka sensor NTC akan aktif pada suhu 80℃ dan output yang keluar dari kaki vout transistor akan diteruskan ke resistor R3 dan diperkecil arusnya. Kemudian diteruskan ke kaki non inverting, sehingga tegangan yang terbaca adalah +849mV sedangkan di kaki inverting tegangan yang terbaca sebesar +833mV. Kemudian dengan menggunakan rumus opamp detektor yaitu ED= (Vnon inverting- Vinverting). Aol yang sangat besar, didaptkan tegangan output yang terbaca sebesar +11 V. Kemudian, dari Vo rangkaian detektor diumpankan ke Resistor R27 dan diperkecil arus dan diteruskan ke kaki Gate Transistor Q1. Sehingga tegangan yang terbaca adala +11 V. Seperti yang sudah kita ketahui bahwa tegangan tersebut sudah cukup untuk mengaktifkan transistor Q1 dan menyebabkan adanya arus yang mengalir dari power supply +12V ke relay, ke kaki drain, ke kaki source, dan kemudian diteruskan ke ground. Dengan adanya arus yang mengalir, maka switch relay akan berpindah ke kiri dan menghidupkan oven dan pompa air mulai mengeluarkan air panas.
C. Prinsip Kerja NTC dingin
Saat belum memilih air dingin, maka NTC akan bersuhu di bawah 3℃ dan output yang keluar dari kaki NTC yang diteruskan ke resistor R13 dan diatur resistansinya di pot hg rv5, sehingga tegangan yang terbaca di kaki non inverting sebesar +440mV. sedangkan di kaki inverting tegangan yang terbaca sebesar +650mV. Kemudian dengan menggunakan rumus opamp detektor yaitu ED=(Vnon inverting - V inverting).Aol yang sangat besar dan didapatkan hasil tegangan output yang terbaca sebesar -12 V dan merupakan -Vsaturasi. Kemudian dari Vo rangkaian detektor diumpankan ke resistor R10 dan arus yang terbaca di kaki Gate Transistor Q3 yaitu sebesar -12 V. Seperti yang kita ketahui, bahwa tegangan tersebut belum cukup untuk mengaktifkan transistor Q3 dan menyebabkan tidak adanya arus yang mengalir dari power supply +12V ke relay, ke kaki drain dan ke kaki source terus ke ground. Dengan tidak adanya arus yang mengalir, maka switch relay masih berada di sebelah kanan dan rangkaian tidak membentuk loop dan LED mati dan pompa air juga tidak mengeluarkan air dingin.
Saat memilih air dingin, maka NTC akan bersuhu 3℃ dan output yang keluar dari kaki NTC yang diteruskan ke resistor R13 dan diatur resistansinya di pot hg rv5, sehingga tegangan yang terbaca di kaki non inverting sebesar +660mV. sedangkan di kaki inverting tegangan yang terbaca sebesar +650mV. Kemudian dengan menggunakan rumus opamp detektor yaitu ED=(Vnon inverting - V inverting).Aol yang sangat besar dan didapatkan hasil tegangan output yang terbaca sebesar +11 V dan merupakan -Vsaturasi. Kemudian dari Vo rangkaian detektor diumpankan ke resistor R10 dan arus yang terbaca di kaki Gate Transistor Q3 yaitu sebesar +11 V. Seperti yang kita ketahui, bahwa tegangan tersebut cukup untuk mengaktifkan transistor Q3 dan menyebabkan adanya arus yang mengalir dari power supply +12V ke relay, ke kaki drain dan ke kaki source terus ke ground. Dengan adanya arus yang mengalir, maka switch relay masih berada di sebelah kanan dan rangkaian membentuk loop dan LED hidup dan pompa air juga mengeluarkan air dingin.
-Alarm peringatan Air Habis Otomatis

D. Prinsip Kerja Sensor Water
Saat sensor water belum mendeteksi adanya air yang penuh di gelas, maka tegangan yang keluar di kaki s sensor water yang diteruskan ke induktor L1 dan kapasitor C1 dan tegangan yang terbaca sebesar 0 V .Kemudian diteruskan ke R16 dan tegangan inputnya juga terbaca 0 V. Kemudian arus diteruskan rangkaian op-amp non inverting amplifier dan menggunakan rumus Vo = (R21/R22+1).Vin, Vo = (20k/10k + 1).0 sehingga tegangan yang keluar dari Vo sebesar 0 volt. Kemudian Vo rangkaian opamp non inverting amplifier diumpankan ke R20 dan diteruskan ke rangkaian detektor dan tegangan yang terbaca di kaki non inverting sebesar 0 mV sedangkan di kaki inverting tegangan yang terbaca sebesar +1000 mV. Kemudian dengan menggunakan rumus Detektor yaitu ED= tegangan di kaki non inverting-tegangan di kaki inverting di kali Aol, sehingga hasilnya ED=0-(+1000) dikali Aol yang sangat besar dan didapatkan tegangan output yang terbaca sebesar -15V. Kemudian dari Vo rangkaian detektor diumpankan ke resistor R19 dan diteruskan ke rangkaian Fixed Bias, dan tegangan yang terbaca di kaki base transistor Q3 sebesar -14,4V. Seperti yang kita ketahui bahwa tegangan tersebut belum cukup untuk mengaktifkan transistor Q2 dan menyebabkan tidak adanya arus yang mengalir dari power supply +12V kemudian diteruskan ke relay, ke kaki collector dan kaki emitor dan diteruskan ke ground. Dengan tidak adanya arus yang mengalir maka switch relay masih berada di sebelah kanan dan rangkaian tidak membentuk loop dan LED mati dan pompa air masih hidup.
Saat sensor water mendeteksi adanya air yang penuh di gelas, maka tegangan yang keluar di kaki s sensor water yang diteruskan ke induktor L1 dan kapasitor C1 dan tegangan yang terbaca sebesar 2,77 V .Kemudian diteruskan ke R16 dan tegangan inputnya juga terbaca 2,77 V. Kemudian arus diteruskan rangkaian op-amp non inverting amplifier dan menggunakan rumus Vo = (R21/R22+1).Vin, Vo = (20k/10k + 1).2,77 sehingga tegangan yang keluar dari Vo sebesar 8,29 volt. Kemudian Vo rangkaian opamp non inverting amplifier diumpankan ke R20 dan diteruskan ke rangkaian detektor dan tegangan yang terbaca di kaki non inverting sebesar 0 mV sedangkan di kaki inverting tegangan yang terbaca sebesar +1000 mV. Kemudian dengan menggunakan rumus Detektor yaitu ED= tegangan di kaki non inverting-tegangan di kaki inverting di kali Aol, sehingga hasilnya ED=8,29-(+1000) dikali Aol yang sangat besar dan didapatkan tegangan output yang terbaca sebesar +15V. Kemudian dari Vo rangkaian detektor diumpankan ke resistor R19 dan diteruskan ke rangkaian Fixed Bias, dan tegangan yang terbaca di kaki base transistor Q4 sebesar 0,91V. Seperti yang kita ketahui bahwa tegangan tersebut belum cukup untuk mengaktifkan transistor Q4 dan menyebabkan adanya arus yang mengalir dari power supply +12V kemudian diteruskan ke relay, ke kaki collector dan kaki emitor dan diteruskan ke ground. Dengan adanya arus yang mengalir maka switch relay masih berada di sebelah kiri dan rangkaian membentuk loop dan LED hidup dan pompa air mati.
- Deteksi tangan mendekat ke kran air
E. PRINSIP KERJA SENSOR PIR Sensor PIR berfungsi sebagai mendeteksi tubuh pada dispenser. Disini saya memasang 1 buah sensor PIR, diantara nya PIR1 untuk mendeteksi permintaan air . Ketika salah 1 PIR bergerbang logika 1 menandakan adanya permintaan air dari dispenser. Ketika gerbang logika bernilai 1, maka sensor akan mengeluarkan tegangan sebesar 5 Volt, selanjutnya diumpankan ke Voltage follower. Berdasar teori Voltage follower sebagai penguat berkonstanta 1, yaitu Vo=Vi, maka tegangan output yang keluar akan bernilai 5 Volt juga. Selanjutnya , tegangan output di umpankan resistor yang selanjutnya dihubungkan ke kaki base transistor dan kaki emiiter transistor. Tegangan yang terbaca di Vbe yaitu 0,8 Volt yang memenuhi syarat transistor self bias. Karena aktif, maka arus mengalir resistor dan relay. Karena ada aliran arus di relay, maka switch berpindah dari kanan ke kiri, yang menyebabkan rangkaian menjadi loop tertutup.
5. VideoBerikut video simulasi rangkaian
Download File HTML klik disini
Download Rangkaian Klik Disini
Download Video klik disini
Download Data Sheet Resistor 220 klik disini
Download Data Sheet Resistor 10k klik disini
Download Data Sheet Transistor NPN BC547 klik disini
Download Datasheet 2N7000 klik disini
Download Data Sheet LM741 Klik Disini
Download Data Sheet Relay 12V klik disini
Download Data Sheet Buzzer klik disini
Download Datasheet LED klik disini
Download Data Sheet Motor DC klik disini
Download Data Sheet NTC klik disini
Download Data Sheet Water Sensor klik disini
Download Data Sheet Sensor Infrared klik disini
Download File Library Water Sensor klik disini
Download File Library Sensor Infrared klik Disini
Komentar
Posting Komentar